聚集网(jujiwang.com) - 收录免费分类目录信息软文发布网址提交
免费加入

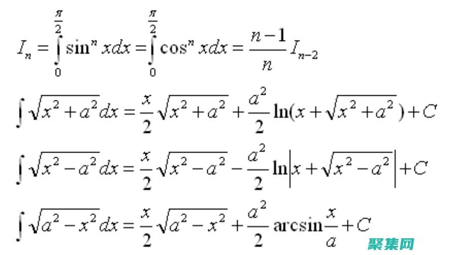
三角函数积分技巧:三角代换的艺术 (三角函数积分公式)

文章编号:5474时间:2024-09-13人气:


:选择三角代换 三角代换的艺术

我们选择 $x = 2 \sin \theta$。

步骤 3:化简被积分表达式

利用三角恒等式,我们有:$$\begin{split} \sqrt{4 - x^2} &= \sqrt{4 - (2 \sin \theta)^2} \\ &= \sqrt{4 - 4 \sin^2 \theta} \\ &= 2 \cos \theta \end{split}$$

$$\begin{split} dx &= \frac{d}{dx}(2 \sin \theta) \, d\theta \\ &= 2 \cos \theta \, d\theta \end{split}$$ 因此,被积分表达式变为:$$2 \cos^2 \theta \, d\theta$$步骤 4:计算积分

使用三角函数积分公式,我们得到:$$\int 2 \cos^2 \theta \, d\theta = \theta + \sin \theta + C$$

步骤 5:将新变量代回原积分式

最后,我们将 $\theta$ 代回原积分式,得到:$$\int \sqrt{4 - x^2} \, dx = \arcsin \frac{x}{2} + \sin\left(\arcsin \frac{x}{2}\right) + C$$

其中 $C$ 是积分常数。 三角函数积分技巧

结论

三角代换是一种强大的技巧,可以在解决三角函数积分时显著简化积分过程。通过理解三角代换的原理和步骤,以及熟记一些常用的积分公式,我们可以轻松地处理各种复杂的三角函数积分。



相关标签: 三角代换的艺术三角函数积分技巧三角函数积分公式

上一篇:编程语言踏入软件开发世界的完整编程语言教

下一篇:三角函数积分技巧掌握弧度和角度测量三角函

内容声明:

1、本站收录的内容来源于大数据收集,版权归原网站所有!
2、本站收录的内容若侵害到您的利益,请联系我们进行删除处理!
3、本站不接受违法信息,如您发现违法内容,请联系我们进行举报处理!
4、本文地址:http://www.jujiwang.com/article/9fab22f85184920d2a1c.html,复制请保留版权链接!


温馨小提示:在您的网站做上本站友情链接,访问一次即可自动收录并自动排在本站第一位!
随机文章
面向对象的Java编程:韩顺平教你设计与实现 (面向对象的基本概念)

面向对象的Java编程:韩顺平教你设计与实现 (面向对象的基本概念)

面向对象编程,OOP,是一种软件开发模型,它将程序组织成对象,对象由数据和操作这些数据的函数组成,OOP的主要优点是可重用性、可扩展性和可维护性,面向对象的基本概念类和对象类是对象的蓝图,它定义了对象的属性和方法,对象是类的实例,封装封装是指将数据和操作它的方法作为一个单元进行打包,这有助于将类的内部实现细节隐藏在外部世界之外,继承继...。

互联网资讯 2024-09-12 20:28:30

图形控件的最佳实践:确保高效和用户友好的界面 (图形控件的最小单位是)

图形控件的最佳实践:确保高效和用户友好的界面 (图形控件的最小单位是)

图形控件是应用程序中的重要元素,它们允许用户与界面进行交互,精心设计的图形控件可以提高效率、可用性和整体用户体验,以下是确保图形控件高效且用户友好的最佳实践,最小单位图形控件的最小单位是用户可以对其进行交互或操作的最小部分,例如,按钮的最小单位是按钮文本,而文本框的最小单位是一个字符,选择合适的最小单位非常重要,以便为用户提供准确的控...。

最新资讯 2024-09-11 22:13:20

为初学者准备的 Oracle 数据库创建和管理教程 (为初学者准备的旅行手册动漫)

为初学者准备的 Oracle 数据库创建和管理教程 (为初学者准备的旅行手册动漫)

前言本教程旨在为初学者提供一个循序渐进的指南,以便他们了解Oracle数据库的基础知识,包括创建、管理和维护数据库,本教程将以旅行手册动漫的形式呈现,让学习过程变得更加有趣和引人入胜,第1章,数据库创建准备出发,安装Oracle数据库软件我们需要安装Oracle数据库软件,请访问Oracle官方网站下载最新版本,抵达目的地,创建数据库...。

技术教程 2024-09-11 18:07:59

淘宝导航代码全面解析:开启店铺流量新篇章 (淘宝导航代码大全)

淘宝导航代码全面解析:开启店铺流量新篇章 (淘宝导航代码大全)

什么是淘宝导航代码,淘宝导航代码是一个由淘宝提供的代码片段,可以将您的店铺或产品链接嵌入到第三方网站或平台上,从而为您的店铺引流和提升曝光率,淘宝导航代码的类型商品链接代码商品链接代码用于将特定商品链接到第三方网站或平台,当用户点击该链接时,将会直接跳转到淘宝商品详情页,<,ahref=https,item.taobao.co...。

技术教程 2024-09-10 21:50:57

聚合函数基础:深入了解数据汇总的基础 (聚合函数基础知识)

聚合函数基础:深入了解数据汇总的基础 (聚合函数基础知识)

概述聚合函数是数据分析和处理中不可或缺的工具,它们允许我们根据数据集合计算汇总值,例如求和、求平均值或查找最大值和最小值,了解聚合函数的基础对于有效地利用它们并获得有意义的见解至关重要,常见聚合函数最常用的聚合函数包括,COUNT,计算数据集中的行数,SUM,计算一列中的所有数值的总和,AVG,计算一列中所有数值的平均值,...。

互联网资讯 2024-09-10 10:50:27

网页特效大师指南:掌握技巧,打造流畅、有吸引力和令人难忘的在线体验 (网页特效大师下载)

网页特效大师指南:掌握技巧,打造流畅、有吸引力和令人难忘的在线体验 (网页特效大师下载)

提升你的网站体验,打造流畅、有吸引力且令人难忘的在线体验,目录掌握网页特效的基础知识运用先进的网页特效技术性能优化,实现流畅且高效的体验响应式设计,打造多设备友好型特效创意和灵感,提升你的视觉效果掌握网页特效的基础知识什么是网页特效,网页特效是指运用技术元素来增强网站的用户体验,它们可以包括动画、交互、视觉效果等等,网页特效的类型动画...。

互联网资讯 2024-09-08 13:45:30

Visual Component Library (VCL) 控件:开发 Delphi 和C++Builder 应用程序的终极指南 (visualstudio)

Visual Component Library (VCL) 控件:开发 Delphi 和C++Builder 应用程序的终极指南 (visualstudio)

VCL,可视组件库,是一个功能强大的控件库,用于开发Windows应用程序,它包含广泛的控件,使您可以轻松创建具有自定义外观和行为的用户界面,简介VCL是EmbarcaderoDelphi和C,Builder编程环境的基础,它由众多控件组成,这些控件可用于构建各种应用程序,从简单的数据输入表单到复杂的图形界面,控件类型VCL控件库包...。

最新资讯 2024-09-07 18:05:35

为你的耳朵带来愉悦:提供无与伦比音乐享受的音乐播放器 (为你的耳朵带来了什么)

为你的耳朵带来愉悦:提供无与伦比音乐享受的音乐播放器 (为你的耳朵带来了什么)

音乐是一种强大的力量,它可以抚慰灵魂、激发想象力,并把我们带到另一个世界,如果你正在寻找一种方式来充分享受音乐,那么你应该考虑购买一台优质的音乐播放器,音乐播放器有多种形状和大小,但它们都有一些共同点,它们都配备了高品质扬声器,可以重现音乐的每个细节,它们都有用户友好的界面,让你可以轻松地找到和播放你喜爱的音乐,最后,它们都耐用且可靠...。

技术教程 2024-09-07 12:52:02

在 PHP 应用中应用随机数:从游戏到安全 (php应用范围)

在 PHP 应用中应用随机数:从游戏到安全 (php应用范围)

随机数在PHP应用中有着广泛的用途,从游戏到安全,生成可预测的随机数可能会带来严重后果,因此了解如何正确生成和使用随机数至关重要,游戏在游戏中,随机数可用于创建各种效果,例如生成随机数目或位置的敌人、产生随机奖励或决定游戏中的其他事件,对于游戏应用程序,遵循以下最佳实践非常重要,使用安全伪随机数生成器,例如`mt,rand,`或`r...。

互联网资讯 2024-09-05 21:48:31

深入浅出的织梦教程:初学者和专业人士的终极指南 (深入浅出的了解一下是什么意思)

深入浅出的织梦教程:初学者和专业人士的终极指南 (深入浅出的了解一下是什么意思)

什么是织梦,织梦,DedeCMS,是一个开源内容管理系统,CMS,,广泛用于创建和管理网站,它具有用户友好的界面、强大的功能和活跃的社区支持,使其成为网站构建的首选,织梦教程适合谁,本教程适合所有想要学习织梦的个人,无论你是初学者还是经验丰富的专业人士,教程内容织梦概览安装和配置织梦创建和管理内容使用织梦模板扩展织梦功能织梦安全与维护...。

技术教程 2024-09-05 14:11:05

安阳灵异事件探秘:揭开千年古城的幽灵之说 (安阳灵异事件真相结果)

安阳灵异事件探秘:揭开千年古城的幽灵之说 (安阳灵异事件真相结果)

安阳灵异事件探秘,揭开千年古城的幽灵之说引言安阳,这座拥有悠久历史的千年古城,一直流传着众多灵异事件的传说,从闹鬼的古墓到诡异的古宅,安阳的幽灵之说源远流长,本文将深入探寻这些灵异事件背后的真相,揭开安阳幽灵之说的神秘面纱,殷墟灵异事件安阳最著名的灵异事件之一莫过于殷墟,这座商朝都城遗址被认为是闹鬼最严重的地区之一,传说,商朝灭亡后,...。

互联网资讯 2024-09-05 04:44:14

谁发个网站制作步骤 要详细点 谢谢 (谁发个网站制作视频)

谁发个网站制作步骤 要详细点 谢谢 (谁发个网站制作视频)

这里是网站制作的详细步骤,第一步,明确需求和目标在开始网站制作之前,需要先明确自己的需求和目标,你要制作的是什么类型的网站,是个人博客,还是商业网站,你的目标是什么,是吸引更多的用户访问,还是增加销售额,明确需求和目标,有利于制定网站设计和开发的方向,第二步,确定网站结构和功能在明确需求和目标之后,需要确定网站的结构和功能,你需要考虑...。

技术教程 2024-09-02 00:58:39