聚集网(jujiwang.com) - 收录免费分类目录信息软文发布网址提交
免费加入

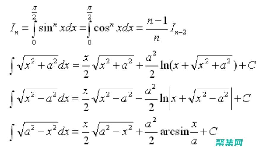
三角函数积分公式的全面指南:从基础到高级应用 (三角函数积分公式)

文章编号:5472时间:2024-09-13人气:


ul> 的全面指南 从基础到高级

结论

三角函数积分公式在微积分和数学的许多其他领域中至关重要。通过理解这些公式及其应用,您可以解决广泛的积分问题。本指南旨在提供一个简洁明了的三角函数积分公式摘要,希望能够帮助您推进您的数学学习



相关标签: 三角函数积分公式三角函数积分公式的全面指南从基础到高级应用

上一篇:三角函数积分技巧掌握弧度和角度测量三角函

下一篇:指数函数的本质和应用从指数函数的本质特征

内容声明:

1、本站收录的内容来源于大数据收集,版权归原网站所有!
2、本站收录的内容若侵害到您的利益,请联系我们进行删除处理!
3、本站不接受违法信息,如您发现违法内容,请联系我们进行举报处理!
4、本文地址:http://www.jujiwang.com/article/7378c797891bbf4a5c16.html,复制请保留版权链接!


温馨小提示:在您的网站做上本站友情链接,访问一次即可自动收录并自动排在本站第一位!
随机文章
C 多线程编程最佳实践和陷阱 (c多线程编程实战第二版pdf)

C 多线程编程最佳实践和陷阱 (c多线程编程实战第二版pdf)

多线程编程是一种强大的技术,可用于改善程序的性能和响应能力,多线程编程也可能非常复杂且容易出错,为了帮助您避免常见陷阱并创建健壮的多线程程序,本文将介绍一些C多线程编程的最佳实践和陷阱,最佳实践使用线程池,线程池是一种管理线程的机制,它通过重用现有的线程而不是每次创建新线程来提高性能,这可以减少上下文切换的开销并提高程序的整体效率,使...。

本站公告 2024-09-12 14:56:57

2013 年最流行编程语言排行榜 (2013年最火的歌)

2013 年最流行编程语言排行榜 (2013年最火的歌)

根据TIOBE指数,2013年最流行的编程语言如下,排名语言流行度指数1Java17.914%2C16.817%3C,7.948%4C5.742%5VisualBasic.NET5.416%6Python4.763%7Perl4.360%8PHP3.974%9JavaScript3.177%10Assemblylanguage2.5...。

技术教程 2024-09-10 15:27:50

PHP套件:发现可扩展解决方案,满足您的Web开发需求 (php套件安装)

PHP套件:发现可扩展解决方案,满足您的Web开发需求 (php套件安装)

在现代Web开发中,PHP套件已成为必不可少的工具,可帮助开发人员快速且轻松地扩展其应用程序的功能,这些预先构建的代码包提供了一系列功能,从简单的实用程序到复杂的数据处理和安全集成,本文旨在引导您了解PHP套件的基本知识,包括其优势、类型和最佳实践,以帮助您在Web开发项目中有效利用它们,PHP套件的优势以下是使用PHP套件的主要优势...。

互联网资讯 2024-09-09 11:56:06

一步一步下载 Oracle 数据库的简单指南 (一步两步下载安装)

一步一步下载 Oracle 数据库的简单指南 (一步两步下载安装)

步骤1,访问Oracle官方网站访问Oracle官方网站,https,www.oracle.com,technetwork,database,enterprise,edition,downloads,index.html步骤2,选择合适的产品版本在Oracle下载页面中,向下滚动并查找OracleDatabaseEnterpris...。

互联网资讯 2024-09-09 08:19:03

析构函数:在销毁对象时调用的函数,用于释放对象占用的资源。(析构函数在什么时候执行)

析构函数:在销毁对象时调用的函数,用于释放对象占用的资源。(析构函数在什么时候执行)

定义与作用析构函数是一个在对象被销毁时自动调用的特殊函数,它的主要作用是释放由对象占用的所有资源,确保对象能够被正确销毁,不留下任何内存泄露或其他资源泄露问题,执行时机析构函数是在以下情况下执行的,对象正常销毁时,如使用delete操作符或变量超出作用域时,当对象所在类派生自其他类时,析构函数将以相反的创建顺序依次调用,语法和用法析构...。

最新资讯 2024-09-08 16:58:27

掌握多种语言编程:成为编程语言的多面手 (掌握多种语言的英文)

掌握多种语言编程:成为编程语言的多面手 (掌握多种语言的英文)

前言在当今高度技术化的世界中,编程技能已成为一项必备技能,仅仅掌握一种编程语言已不足以满足不断变化的行业需求,为了在竞争激烈的技术领域取得成功,掌握多种编程语言已成为一种关键优势,掌握多种编程语言的好处提升解决问题能力,每种编程语言都提供独特的视角和解决问题的策略,掌握多种语言可以拓宽你的思维,让你能够从不同的角度审视问题,找到更全面...。

本站公告 2024-09-08 13:10:00

揭开幻灯片代码的神秘面纱:精通创建交互式和动态演示 (幻灯片切换方式为揭开)

揭开幻灯片代码的神秘面纱:精通创建交互式和动态演示 (幻灯片切换方式为揭开)

简介幻灯片已经成为现代演讲和演示中不可或缺的一部分,借助幻灯片软件,我们可以轻松创建视觉吸引人的演示文稿,以传递我们的信息并吸引我们的受众,仅仅制作精美的幻灯片还不够,为了真正吸引受众,我们还需要创建交互式和动态的演示文稿,能够与受众互动并让他们保持参与度,在本文中,我们将深入探讨幻灯片代码的世界,了解如何使用代码创建交互式和动态的幻...。

技术教程 2024-09-07 19:34:32

为开发人员和系统管理员设计的 PHP 高级安装 (与开发人员特定相关的要求)

为开发人员和系统管理员设计的 PHP 高级安装 (与开发人员特定相关的要求)

概要本文档提供了一份全面的指南,用于为开发人员和系统管理员安装和配置PHP,本指南涵盖了PHP的高级安装配置,包括对其核心功能的自定义、扩展的安装和配置以及故障排除技巧,目标受众本指南面向有经验的开发人员和系统管理员,他们需要在生产环境中安装和配置PHP,读者应具备Linux系统管理和PHP开发方面的基本知识,前提条件Linux操作系...。

最新资讯 2024-09-07 15:16:26

购物车代码性能:创建闪电般快速的购物体验 (购物车的代码)

购物车代码性能:创建闪电般快速的购物体验 (购物车的代码)

前言购物车是电子商务网站的关键组成部分,它可以帮助用户跟踪他们选择的商品,并方便地完成购买,如果购物车代码性能不佳,则可能会破坏用户的购物体验,导致客户流失,影响购物车代码性能的因素影响购物车代码性能的因素有很多,包括,数据库查询,数据库查询是购物车代码中最重要的操作之一,它们用于从数据库中检索产品信息、用户详细信息和其他数据,如果查...。

技术教程 2024-09-06 08:10:09

缺点:免费课程内容有限,高级主题需要付费订阅(缺点百科)

缺点:免费课程内容有限,高级主题需要付费订阅(缺点百科)

许多在线学习平台都提供免费内容,例如视频课程、文章和测验,虽然这些资源可以成为入门或探索新主题的宝贵工具,但它们通常仅涵盖基本概念,如果您希望深入了解特定主题或获取更高级别的知识,则通常需要订阅高级计划,这些计划通常会提供更深入的内容、额外的功能和专家指导,例如,Coursera等平台提供各种免费课程,但高级订阅允许用户访问独家课程、...。

技术教程 2024-09-05 15:00:22

西伯利亚寒土地下的恐怖:赤塔僵尸事件的令人震惊的真相 (西伯利亚冻土)

西伯利亚寒土地下的恐怖:赤塔僵尸事件的令人震惊的真相 (西伯利亚冻土)

在西伯利亚广袤而荒凉的冻土深处,埋藏着一个令人毛骨悚然的秘密——赤塔僵尸事件,这起匪夷所思的事件,揭开了僵尸神话背后的科学现实,证明了恐怖可以从冻结的坟墓中苏醒,赤塔僵尸的发现2013年,俄罗斯科学家在西伯利亚赤塔地区的永久冻土层中挖掘时发现了一个令人震惊的发现,他们发现了一具保存完好的尸体,其年龄估计为2400年,尸体被厚厚的冰层覆...。

互联网资讯 2024-09-04 05:12:03

阴兵借道奇谭:现代科技下的探秘与破解 (阴兵借道是哪个电视剧)

阴兵借道奇谭:现代科技下的探秘与破解 (阴兵借道是哪个电视剧)

阴兵借道,是一个民间流传已久的传说,相传在特定的时间和地点,阴间的士兵会借用人间道路,进行操练或巡逻,这则传说的流传甚广,且代代相传,但其真实性却一直众说纷纭,现代科技下的探秘随着现代科技的发展,人们对阴兵借道传说的探秘也进入了一个新的阶段,利用现代化的设备和技术,一些исследователь者试图捕捉到阴兵借道的诡异景象,并对其进...。

互联网资讯 2024-09-04 00:39:19