聚集网(jujiwang.com) - 收录免费分类目录信息软文发布网址提交
免费加入

阶乘函数的延伸:探索伽马函数和超越函数 (阶乘函数解析延拓)

文章编号:4273时间:2024-09-11人气:


引言

阶乘函数是一个定义在非负整数上的函数,表示一个数字的乘积与其所有较小正整数的乘积。例如,5 的阶乘(表示为 5!)为 120,因为 5! = 5 × 4 × 3 × 2 × 1。阶乘函数是一个基础数学工具,在许多领域都有应用,包括组合学、概率和统计。阶乘函数仅定义在非负整数上,限制了其应用范围。为了克服这一限制,数学家开发了伽马函数和超越函数等拓展函数。

伽马函数

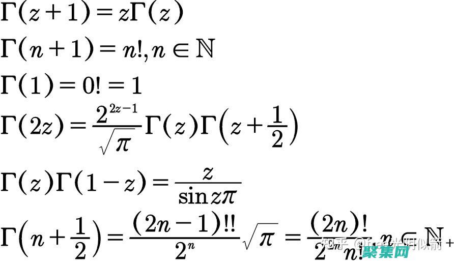
伽马函数 (Γ(z)) 是阶乘函数的一个解析延拓,将其定义扩展到整个复平面,除了零及负整数。伽马函数由以下公式定义:Γ(z) = ∫ 0 t z-1 e -t dt对于 z > 0,伽马函数与阶乘函数相符,即 Γ(z) = (z - 1)!。对于其他复数,伽马函数提供了一种计算分数阶乘和其他非整数阶乘的方法探索伽马和超越 阶乘解析延拓

超越函数

超越函数是超出基本初等函数(如多项式、三角函数和指数函数)的更高级函数。它们通常由无穷级数、积分或其他复杂的数学运算来定义。超越函数在数学和科学中具有广泛的应用,特别是涉及特殊函数和微分方程的领域。它们用于解决各种问题,例如振荡、波浪传播和热传导。

伽马函数和超越函数的应用

伽马函数和超越函数在各种领域有着重要的应用,包括: 组合学: 伽马函数用于计算排列和组合,涉及分数阶组合和多重组合。 概率和统计: 伽马函数是伽马分布和卡方分布等概率分布的基础,用于建模各种随机变量。 物理学: 超越函数用于解决波动方程和热方程等偏微分方程,描述电磁波和热量流动。 工程: 超越函数用于分析振动系统、信号处理和控制理论。

阶乘函数解析延拓的意义

阶乘函数的解析延拓,即伽马函数和超越函数,极大地扩展了阶乘函数的适用性。它允许我们计算分数阶乘和其他非整数阶乘,并深入研究更复杂的数学和科学问题。解析延拓不仅为阶乘函数提供了新的定义域,还揭示了其与超越函数的深刻联系。这导致了数学理论和应用的重大进展,巩固了阶乘函数作为数学中一个基本和多方面的工具的地位。

结论

伽马函数和超越函数是阶乘函数的强大拓展,将阶乘函数的应用范围从非负整数扩展到整个复平面。这些函数在组合学、概率、物理学和工程等领域有着重要的应用。通过解析延拓阶乘函数,我们获得了更深刻的数学理解并增强了解决更复杂问题的数学工具。

相关标签: 探索伽马函数和超越函数阶乘函数解析延拓阶乘函数的延伸

上一篇:掌握数据库设计的奥秘探索前沿工具掌握数据

下一篇:阶乘函数的高级概念从渐近分析到矩阵乘法阶

内容声明:

1、本站收录的内容来源于大数据收集,版权归原网站所有!
2、本站收录的内容若侵害到您的利益,请联系我们进行删除处理!
3、本站不接受违法信息,如您发现违法内容,请联系我们进行举报处理!
4、本文地址:http://www.jujiwang.com/article/500d45f55d8431c9ba39.html,复制请保留版权链接!


温馨小提示:在您的网站做上本站友情链接,访问一次即可自动收录并自动排在本站第一位!
随机文章
揭开 RangeOfString 的奥秘:查找字符串中的子字符串的终极指南 (揭开让我心跳的悬念)

揭开 RangeOfString 的奥秘:查找字符串中的子字符串的终极指南 (揭开让我心跳的悬念)

简介RangeOfString是JavaScript中一个强大的方法,它可以帮助你轻松地在字符串中查找子字符串,它返回一个数组,其中包含子字符串在字符串中出现的第一个和最后一个索引,这使得RangeOfString成为查找和操作子字符串的宝贵工具,语法RangeOfString的语法如下,string.lastIndexOf,subs...。

互联网资讯 2024-09-15 04:13:38

TreeView控件在不同编程语言中的实现:C、Java、JavaScript (treeview拖拽)

TreeView控件在不同编程语言中的实现:C、Java、JavaScript (treeview拖拽)

TreeView控件是一种用户界面元素,它以树状结构显示数据,它通常用于导航文件系统、目录或其他分层数据,TreeView控件在不同的编程语言中都有不同的实现,下面我们将介绍在C、Java和JavaScript中实现TreeView控件的几种方法,C在C中,TreeView控件通常使用WindowsAPI函数创建和管理,以下是一个简单...。

本站公告 2024-09-12 21:42:57

vb编程项目实战:从概念到实际应用 (vb编程项目原图)

vb编程项目实战:从概念到实际应用 (vb编程项目原图)

简介VB,VisualBasic,是一种可视化编程语言,它允许开发人员使用拖放式界面来创建应用程序,VB易于学习,使其成为初学者和经验丰富的开发人员的理想选择,本文将介绍一个实际的VB编程项目,从概念到完整实现,该项目将演示VB的基本功能,并展示如何在实际应用程序中应用它们,项目描述我们将创建一个简单的记事本应用程序,它将允许用户创建...。

技术教程 2024-09-11 14:08:05

二级 C 语言:步入 C 语言编程的旅途 (二级c语言程序设计考什么)

二级 C 语言:步入 C 语言编程的旅途 (二级c语言程序设计考什么)

什么是二级C语言,二级C语言是计算机编程领域的一个等级考试,旨在测试考生对C语言基本概念的理解和掌握程度,通过二级C语言考试,表明考生具备了使用C语言编写简单程序的能力,二级C语言考什么,二级C语言考试内容主要包括以下方面,C语言基础知识,包括数据类型、运算符、表达式、流程控制、函数、数组等,程序设计基础,包括算法设计、数据结构、文件...。

本站公告 2024-09-11 10:29:31

Java 时间管理秘籍:轻松获取当前时间并处理时区问题 (java时间转换日期格式 yyyy-mm-dd)

Java 时间管理秘籍:轻松获取当前时间并处理时区问题 (java时间转换日期格式 yyyy-mm-dd)

前言在实际开发中,处理时间是不可避免的,Java提供了强大的API来获取当前时间和处理时区问题,这让开发人员可以轻松地编写准确的时间管理代码,本文将介绍Java中获取当前时间和处理时区问题的常用技术,帮助开发人员掌握Java时间管理的秘诀,获取当前时间Java中获取当前时间有多种方法,最常用的方法是使用`Instant`类,`Inst...。

本站公告 2024-09-11 05:53:53

ASP编程的最佳实践:打造安全、高效且可维护的Web应用程序 (asp编程教程)

ASP编程的最佳实践:打造安全、高效且可维护的Web应用程序 (asp编程教程)

ASP,ActiveServerPages,是一种服务器端脚本技术,用于创建动态Web应用程序,遵循最佳实践对于构建安全、高效且可维护的ASP应用程序至关重要,安全最佳实践对用户输入进行验证,始终对用户输入进行验证,以防止SQL注入、跨站点脚本和其它攻击,使用加密技术,对敏感数据,如密码,进行加密,以防止未经授权的访问,实施授权和身份...。

技术教程 2024-09-09 18:15:53

C 语言 sort 函数指南:让您的程序高效排序数据 (c语言sort函数头文件)

C 语言 sort 函数指南:让您的程序高效排序数据 (c语言sort函数头文件)

简介sort函数是一个在C标准库中定义的库函数,用于对数组进行排序,它提供了一种高效且通用的方法来组织和处理数据,在各种应用程序中都非常有用,在本文中,我们将深入探讨sort函数的用法、实现原理和优化技巧,帮助您在程序中有效地利用它,函数原型sort函数的原型如下,cvoidsort,voidbase,size,tnum,size,t...。

最新资讯 2024-09-09 17:37:08

全网最全淘宝导航CSS代码,解锁无限可能 (全网最全淘宝的网站)

全网最全淘宝导航CSS代码,解锁无限可能 (全网最全淘宝的网站)

淘宝导航是淘宝网首页上方的导航区域,它提供了快速访问淘宝网不同部分的链接,您可以自定义淘宝导航,使其更符合您的个人喜好,本文将介绍如何使用CSS代码自定义淘宝导航,1.如何获取淘宝导航的CSS代码要获取淘宝导航的CSS代码,请执行以下步骤,打开淘宝网,右键单击淘宝导航,然后选择检查元素,在元素面板中,找到包含淘宝导航内容的元素,通常情...。

互联网资讯 2024-09-09 04:42:05

TutorialsPoint 教程(tutorial)

TutorialsPoint 教程(tutorial)

欢迎来到TutorialsPoint教程!我们的在线教程涵盖广泛的主题,包括编程、数据科学、机器学习、Web开发等,我们的教程我们的教程专为初学者和有经验的专业人士而设计,我们相信每个人都应该能够学习新技能并提高他们的知识,我们所有的教程都是精心准备的,并结合了文本、代码示例和交互式练习,我们还提供各种学习资源,例如视频课程、练习测试...。

互联网资讯 2024-09-05 12:51:49

JavaScript在移动开发中的应用: 构建响应迅速的移动应用程序 (javascript)

JavaScript在移动开发中的应用: 构建响应迅速的移动应用程序 (javascript)

简介JavaScript是一种流行的编程语言,最初用于增强网络页面的交互性,近年来,JavaScript已成为移动开发中一个不可或缺的组成部分,因为它能够为移动应用程序提供响应迅速和强大的用户界面,JavaScript框架和库JavaScript框架和库是简化移动开发流程的强大工具,一些流行的选项包括,ReactNative,一个跨平...。

本站公告 2024-09-05 10:05:18

手机发热发烫是什么原因?怎么解决呢?苹果 (手机发热发烫是什么原因?怎么解决呢?)

手机发热发烫是什么原因?怎么解决呢?苹果 (手机发热发烫是什么原因?怎么解决呢?)

手机发热发烫主要是由以下几个原因造成的,过度使用、外部环境影响、系统问题或应用程序冲突、电池老化等,首先,过度使用是导致手机发热的常见原因,当我们长时间使用手机,比如玩大型游戏、观看高清视频或进行高强度的工作任务时,手机的处理器会高速运转,消耗大量能量,从而产生热量,这种情况下,手机发热是正常现象,但如果过度使用,可能会导致手机过热,...。

技术教程 2024-09-02 02:53:56

网站SEO优化的方法有哪些 (网站SEO优化教程)

网站SEO优化的方法有哪些 (网站SEO优化教程)

主要分两大方面,站内优化和站外优化站内优化,1、网站代码优化2、网站结构优化3、网站布局优化4、网站内容优化5、网站内链优化站外优化,1、自媒体推广2、行业网站推广3、B2B网站推广4、社交媒体推广5、社区论坛推广6、通讯工具推广等如何做好网站SEO优化,针对不同的站点,不同的问题应该有不同的方案,下面列举写一份完整SEO诊断方案的思...。

技术教程 2024-09-02 02:22:14