聚集网(jujiwang.com) - 收录免费分类目录信息软文发布网址提交
免费加入

了解 γ 分布的数学奥秘:深入探讨其密度函数 (x²分布的定义)

文章编号:3028时间:2024-09-09人气:


γ

概述

γ 分布(伽马分布),又称 x² (卡方) 分布,是一个连续概率分布,常用于建模非负随机变量。它具有广泛的应用,包括统计推断、贝叶斯分析和风险评估。

密度函数

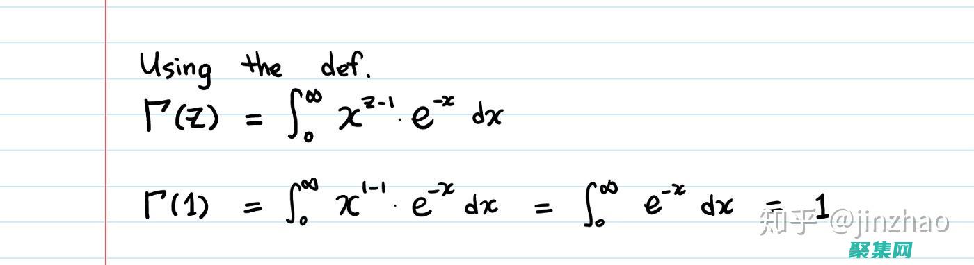
γ 分布的密度函数定义为:```f(x; α, β) = (β^α x^(α-1) e^(-βx)) / Γ(α)```其中:x 是非负随机变量α 是形状参数,控制分布的形状β 是速率参数,控制分布的尺度Γ(α) 是 Gamma 函数,定义如下:```Γ(α) = ∫₀^∞ x^(α-1) e^(-x) dx```

x² 分布的定义

当 α = n/2,β = 1/2 时,γ 分布成为 x² 分布。x² 分布的密度函数定义为:```f(x; n) = (1/2^(n/2) Γ(n/2)) x^(n/2-1) e^(-x/2)```其中:n 是自由度

性质

γ 分布具有以下性质:均值:α / β方差:α / β²偏度:2 / √α峰度:3 / α + 6γ 分布是一个右偏分布,其形状取决于 α 的值。当 α 较小 (<1) 时,分布呈指数衰减型;当 α 较大 (>1) 时,分布呈对称的钟形曲线。

应用

γ 分布广泛应用于以下领域:统计推断:对平均值、方差和其他统计量进行假设检验和区间估计贝叶斯分析:作为先验分布,用于建模未知参数风险评估:量化投资组合的风险和回报信号处理:建模噪声分布

示例

假设我们测量一个电子元件的寿命,并且它服从 γ 分布,其中 α = 2,β = 0.5。那么,元件寿命超过 1 年的概率是多少?```P(X > 1) = ∫₁^∞ (β^α x^(α-1) e^(-βx)) / Γ(α) dx```计算积分得到:```P(X > 1) = 0.1353```因此,元件寿命超过 1 年的概率约为 13.5%。 分布的数学奥秘 x²分布的定义

结论

γ 分布是一个强大的概率分布,具有广泛的应用。通过理解其密度函数和性质,我们可以有效地利用它来建模和分析非负随机变量。

相关标签: 深入探讨其密度函数分布的数学奥秘x²分布的定义了解γ

上一篇:γ分布密度函数的解读从零到无限的探索之旅

下一篇:下载Oracle数据库的艺术掌握该过程的细微差

内容声明:

1、本站收录的内容来源于大数据收集,版权归原网站所有!
2、本站收录的内容若侵害到您的利益,请联系我们进行删除处理!
3、本站不接受违法信息,如您发现违法内容,请联系我们进行举报处理!
4、本文地址:http://www.jujiwang.com/article/99742afa73f60655789d.html,复制请保留版权链接!


温馨小提示:在您的网站做上本站友情链接,访问一次即可自动收录并自动排在本站第一位!
随机文章
使用 VB 源代码编写自动化脚本和宏 (vb的源代码)

使用 VB 源代码编写自动化脚本和宏 (vb的源代码)

VB,VisualBasic,是一种高级编程语言,广泛用于创建自动化脚本和宏,本文将指导您使用VB源代码编写自动化脚本和宏,以提高您的工作效率,编写自动化脚本自动化脚本是一系列预先编写的指令,用于自动执行特定任务,使用VB源代码编写自动化脚本的步骤如下,创建新项目,在MicrosoftVisualBasic中创建一个新的标准EXE项目...。

本站公告 2024-09-09 16:54:24

织梦淘宝客模板下载中心:海量模板,任你挑选

织梦淘宝客模板下载中心:海量模板,任你挑选

海量模板,任你挑选经典简约模板这是一款经典简约风格的织梦淘宝客模板,采用白色和蓝色为主色调,布局简洁,内容分明,适用于各种类型的淘宝客网站,立即下载时尚潮流模板这是一款时尚潮流风格的织梦淘宝客模板,采用炫酷的黑色背景和亮眼的彩色元素,彰显个性,适用于美妆、服饰等时尚类网站,立即下载商务大气模板这是一款商务大气风格的织梦淘宝客模板,采用...。

本站公告 2024-09-08 18:19:09

Java(javascript指什么)

Java(javascript指什么)

概念Java是一种面向对象的编程语言,广泛用于企业级软件开发、移动应用程序开发和Web应用开发,JavaScript是一种脚本语言,主要用于在Web浏览器中创建交互式网页,它在加载网页时在浏览器端执行,无需与服务器交互,相似之处名称相似,Java和JavaScript的名称相似,但它们是不同的编程语言,C语言影响,Java和JavaS...。

本站公告 2024-09-08 17:50:32

一步一步学习C语言:下载初学者指南,迈出编程旅程的第一步 (一步一步学画画)

一步一步学习C语言:下载初学者指南,迈出编程旅程的第一步 (一步一步学画画)

C语言是世界上最受欢迎和最广泛使用的编程语言之一,它是一种通用语言,用于开发各种应用程序,从操作系统和嵌入式系统到桌面和移动应用程序,如果你是一个初学者,想学习C语言,那么你来对地方了,本指南将引导你完成学习C语言的基本步骤,并为你提供一些有用的资源来帮助你入门,下载并安装C语言编译器第一步是下载和安装C语言编译器,编译器将把你的C代...。

本站公告 2024-09-08 11:30:59

降低风险(降低风险换个说法)

降低风险(降低风险换个说法)

降低风险是至关重要的,因为它可以帮助您保护自己、您的家人和您的财务状况,您可以采取许多步骤来降低风险,包括,购买保险投资于安全可靠的投资建立一个应急基金制定并遵循预算避免不必要的债务定期检查您的财务状况购买保险购买保险是降低风险最重要的措施之一,保险可以帮助您在发生意外或不幸事件时保护自己财务状况,有许多不同类型的保险可用,因此了解您...。

互联网资讯 2024-09-08 06:01:49

MATLAB递归函数的高级应用:探索在图像处理、机器学习和其他领域的强大用例 (matlab软件)

MATLAB递归函数的高级应用:探索在图像处理、机器学习和其他领域的强大用例 (matlab软件)

递归函数是在MATLAB中执行复杂任务的强大工具,通过重复调用自身,递归函数可以解决传统迭代方法难以解决的问题,图像处理中的递归函数图像处理是递归函数的一个常见应用领域,下面是一些示例,图像分割,递归函数可以用于将图像分割成具有相似特征的区域,例如,可以使用分而治之的方法将图像分割成更小的部分,并递归地应用分割算法,直到达到所需的粒度...。

技术教程 2024-09-07 05:52:42

利用MATLAB递归函数解决棘手问题:深入研究实用应用和解决方案 (利用matlab由频率特性曲线求传递函数)

利用MATLAB递归函数解决棘手问题:深入研究实用应用和解决方案 (利用matlab由频率特性曲线求传递函数)

引言递归函数是通过自身调用自身来解决复杂问题的强大工具,在MATLAB中,递归函数可以用来解决各种问题,从数学运算到数据结构,在本文中,我们将深入研究递归函数在MATLAB中的实际应用,并探讨它们如何解决棘手问题,递归函数的基础知识递归函数是一个函数,其定义中引用了自身,这允许函数通过不断细分问题,并使用函数本身作为子问题求解器,在较...。

技术教程 2024-09-07 05:48:13

精通编程:全面指南,从初学者到专家 (精通编程有什么用处)

精通编程:全面指南,从初学者到专家 (精通编程有什么用处)

精通编程有什么用处在当今科技驱动的世界里,编程技能已成为一项不可或缺的能力,它为个人和职业发展提供了广泛的好处,包括,解决问题的惊人能力,编程培养一种系统的、逻辑的思维方式,提高解决复杂问题的能力,高薪酬和职业选择,编程行业需求旺盛,技术熟练的从业者可以获得高薪酬和广泛的职业选择,创造力增强,编程允许个人表达他们的创造力,通过构建应用...。

最新资讯 2024-09-06 21:36:40

初学者指南:如何轻松安装 Java (羽毛球儿童初学者指南)

初学者指南:如何轻松安装 Java (羽毛球儿童初学者指南)

对于希望进入计算机编程世界的人来说,Java是一种流行且强大的编程语言,本文将指导您完成在Windows、macOS和Linux系统上安装Java的分步过程,即使您是初学者,您也可以轻松地按照这些说明进行操作,Windows安装访问OracleJava网站,https,www.oracle.com,java,technologie...。

互联网资讯 2024-09-06 17:34:56

整站程序的进阶之路,掌握先进技术,提升网站性能 (整站技术优化教程搜索引擎)

整站程序的进阶之路,掌握先进技术,提升网站性能 (整站技术优化教程搜索引擎)

概述随着互联网的快速发展,网站的性能变得越来越重要,用户期望快速加载和响应式网站,而任何延迟都会导致跳出率增加和转化率降低,因此,对于网站所有者和开发人员来说,掌握先进的技术并实施整站优化技术至关重要,整站优化技术整站优化技术涉及优化网站的各个方面,包括,前端优化,优化HTML、CSS和JavaScript代码以提高加载速度,服务器端...。

最新资讯 2024-09-06 06:33:49

专业设计:模板由经验丰富的设计师设计,具有美观且现代的外观。(b+的专业)

专业设计:模板由经验丰富的设计师设计,具有美观且现代的外观。(b+的专业)

我们的模板由经验丰富的设计师设计,具有美观且现代的外观,用户界面友好,模板易于导航和使用,视觉吸引力,模板采用高品质的图形和图片,打造视觉吸引力,响应式设计,模板适合各种设备,包括台式机、笔记本电脑和移动设备,可定制,模板可以轻松定制以匹配您的品牌和风格,专业设计的好处使用专业设计的模板有很多好处,包括,节省时间,您可以节省自己设计模...。

技术教程 2024-09-05 10:34:24

河南安阳闹鬼事件:探寻灵异背后的真相 (河南安阳闹鬼事件)

河南安阳闹鬼事件:探寻灵异背后的真相 (河南安阳闹鬼事件)

事件概述2012年,河南省安阳市发生了一系列闹鬼事件,引发了社会广泛关注,据传,在安阳一所高中内,多名学生和老师称遭遇了灵异现象,包括听到怪声、看到鬼影等,事件调查事件发生后,安阳市教育局和公安部门介入调查,警方并未发现任何超自然现象的证据,并认为这些事件主要是心理因素造成的,教育局也成立了心理咨询团队,对受影响的学生和老师进行心理辅...。

互联网资讯 2024-09-05 00:53:02